78628-80-5
78628-80-5 结构式
基本信息
(E)-N-(6,6-二甲基庚-2-烯-4-炔基)-N-甲基-1-萘甲胺盐酸盐
特比萘芬盐酸盐
盐酸特比萘芬
特比萘芬
特比萘酚
盐酸特比萘酚
特拉萘芬盐酸盐
盐酸特比萘芬
(E)-N-(6,6-DIMETHYL-2-HEPTEN-4-YNYL)-N-METHYL-1-NAPHTHYLMETHYLAMINE HYDROCHLORIDE
LAMISIL
N-[(2E)-6,6-DIMETHYL-2-HEPTEN-4-YNYL]-N-METHYL-1-NAPHTHALENEMETHANAMINE
n,6,6-trimethyl-n-(naphthalen-1-ylmethyl)hept-2-en-4-yn-1-amine hydrochloride
TERBINAFINE HCL
TERBINAFINE HYDROCHLORIDE
TRANS-N-(6,6-DIMETHYL-2-HEPTEN-4-YNYL)-N-METHYL-1-NAPHTHYLMETHYLAMINE HYDROCHLORIDE
(e)-n-(6,6-dimethyl-2-hepten-4-ynyl)-n-methyl-1-naphthalenemethylaminehydroc
lamosil
n-(6,6-dimethyl-2-hepten-4-ynyl)-n-methyl-1-naphthalenemethanamin(e)-1-naphthalenemethanaminmon
n-(6,6-dimethyl-2-hepten-4-ynyl)-n-methyl-1-naphthalenemethanamin(e)-1-naphthalenemethanaminmonohydrochloride
Terbinafine hdyrochloride
TerbutalineSulfateBase
Lamisil, N-[(2E)-6,6-Dimethyl-2-hepten-4-ynyl]-N-methyl-1-naphthalenemethanamine
1-Naphthalenemethanamine, N-(2E)-6,6-dimethyl-2-hepten-4-ynyl-N-methyl-, hydrochloride
TERNBINAFINEHCL
({[(2E)-6,6-Dimethylhept-2-en-4-yn-1-yl](methyl)amino}methyl)naphthalene hydrochloride
Trebinafine hydrochloride
1-(3,5-Dihydroxyphenyl)-2-(tert-butylamino)ethanol
物理化学性质
pharmaceutical small molecule
安全数据
Aquatic Chronic 1
Eye Irrit. 2
Skin Irrit. 2
STOT SE 3
上下游产品信息
常见问题列表
2000年盐酸特比萘芬进入了国家公布的第一批OTC目录。该产品属于抗真菌类药,它对 浅部真菌感染作用较强,外用可以治愈绝大部分皮肤真菌病。
2.各种癣病(体癣、股癣、手足癣和头癣等)以及由念珠菌(白色念珠菌等)惹起的皮肤酵母菌感染。
3.由发霉菌惹起的甲癣(甲真菌感染)。
口服:成人每次0.25克,每日一次,疗程如下:
皮肤感染的疗程:手足癣[趾(指)间型和跖型]:2~6周;体癣、股癣:2~4周;
皮肤念珠菌病:2~4周。在真菌学治愈几周,才可见到皮肤外观完全正常以及感染症消失。
头发和头皮感染的疗程:头癣:4周,头癣多数发生于儿童。
甲癣:绝大多数患者的疗程为6周~3个月。其中的年青患者因甲生长正常而能缩短疗程,故除姆指(趾)甲外,小于3个 月的治疗可能已足够。
在其它病例中,疗程通常只需3个月。某些患者,特别是那些大拇指(趾)甲感染的患者,可能需6个月或更长的时间。 在第一周治疗中见到甲生长缓慢大患者,其疗程可能需超过3个月。在真菌学治愈和停止治疗后几个月,可看到病情继续 好转至甲板外观完全正常,这是因为健康的甲组织生长需要时间。
盐酸特比萘芬主要有胃肠道反应和皮肤不良反应两种,发生率分别为4.9%和2.3%,其他少见不良反应还有味觉丧失、肝功异常、视觉异常、中性粒细胞减少及神经系统不良反应包括头痛、头晕、眩晕和感觉异常等。有报道口服特比萘芬可致固定型药疹、多形红斑、荨麻疹样和湿疹样皮疹、急性泛发性发疹型脓疱病、瘙痒,斑秃等,尤其是口服特比萘芬引起急性泛发性发疹性脓疱病。纵观国内外有关不良反应的报道,几乎皆为口服盐酸特比萘芬引起的,外用盐酸特比萘芬引起不良反应的报道较少。针对口服盐酸特比萘芬有可能出现较为严重的不良反应的情况,国内外学者进行了众多的研究。研究表明,口服盐酸特比萘芬引起较严重不良反应的为肝损害,然而盐酸特比萘芬致肝损害的发生率却较低。
1.盐酸特比萘芬粗品的合成:
向100ml三口反应瓶中加入12.5ml纯化水,碳酸钾(4.06g,29.2mmol),搅拌溶解后加入N-甲基萘甲胺(5.01g,29.2mmol),再加入1-氯-6,6-二甲基-2-庚烯-4-炔(4.57g,29.2mmol),升温至80℃反应,4小时后,冷却至室温,加入25ml乙酸乙酯萃取,分出乙酸乙酯相后冷却至0-10℃,滴加6N的盐酸水溶液,调节pH至1,搅拌1-2h,过滤,滤饼于70℃下真空干燥4h得盐酸特比萘芬粗品(8.51g,收率:89%);
2.盐酸特比萘芬粗品的纯化:
向250ml单口瓶中加入盐酸特比萘芬粗品(8.51g,26.8mmol),纯化水106ml,加热回流至溶清,自然冷却至室温后,冰浴冷却至0-10℃,搅拌1h,过滤,滤饼70℃真空干燥3h得盐酸特比萘芬成品(7.66g,纯度99.988%,收率90%)。
3.盐酸特比萘芬优化合成步骤及途径:
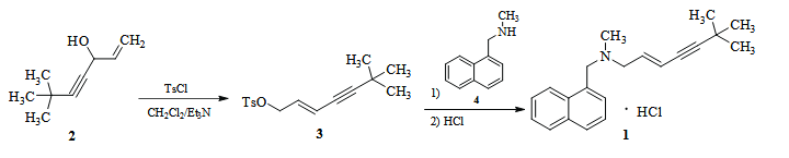
以 6,6- 二甲 基 -3- 羟基 -4- 炔 -1- 庚烯(2)为起始原料,在二氯甲烷和三乙胺的体系中与 4- 甲
基苯磺酰氯 ( TsCl) 反应,得到中间体 (E)-6,6- 二
甲基 -2- 庚烯 -4- 炔 -1-(4- 甲基苯磺酸酯 )(3),中间体( E ∶ Z ≈ 40 ∶ 1),收率 85%,随后将
3 与 N- 甲
基 -1- 萘甲胺 (4) 发生缩合反应得到终产物 1,纯度 99.6%。
[1]蔡基玮,杨康,刘通,等.盐酸特比萘芬的合成工艺优化[J].中国医药工业杂志,2020,51(07):834-836.DOI:10.16522/j.cnki.cjph.2020.07.005.

