背景及概述
1,2,3,9-四氢-9-甲基咔唑酮,一种有机化学物质,分子式为C13H13NO,是合成止吐药昂丹司琼的关键中间体,用于制备5-HT3调节剂,治疗和预防介导疾病。下面是关于它的一些性质,用途,制法和安全信息的介绍。
性质及用途
1,2,3,9-四氢-9-甲基咔唑酮是一种白色结晶粉末,可溶于水和乙醇、乙醚等多种有机溶剂。它通常在实验室中作为研究化学品使用。

图1 1,2,3,9-四氢-9-甲基咔唑酮性状图
1,2,3,9-四氢-9-甲基咔唑酮通常被用作一种兴奋剂或毒品。它具有类似于安非他命和MDMA的作用,如提高警觉性、兴奋、增强性欲和抑制食欲。其兴奋剂的性质,它也可能会导致危险的身体和精神反应,如心脏问题、焦虑、幻觉和精神障碍。
制法
1,2,3,9-四氢-9-甲基咔唑酮的制法通常涉及一系列的化学合成步骤。具体的合成方法可以根据需要进行调整,但一般涉及到一系列的有机合成反应和结晶纯化步骤。
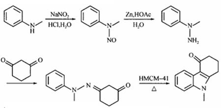
参考文献[1]以N-甲基苯胺为原料,采用硝化生成N-亚硝基-N-甲基苯胺,再还原生成a-甲基-a-苯肼(PH),最后在HMCM-41分子筛的催化下与1,3-环已二酮(CH)环合,得到目标产物1,2,3,9-四氢-9-甲基咔唑酮。重点对环合反应的反应温度、催化剂浓度、投料比和反应溶剂进行了考察,得到了环合反应温度为60℃,催化剂浓度(PH/catalyst)为0.3,投料比(CH/PH)为1.2,溶剂为甲醇的较优工艺条件,环合反应的收率为65.3%。反应后的产品用适量的丙酮-水重结晶得到无色针状的产物CAR,含量>99.0%(HPLC)。

图2 1,2,3,9-四氢-9-甲基咔唑酮的合成反应式
安全信息
这种化合物具有兴奋剂的性质,可能对健康造成严重的危害。当使用或接触1,2,3,9-四氢-9-甲基咔唑酮时务必提高警惕,并遵循严格的安全操作和防护措施。
参考文献
[1]胡仙超,吴伟军.1,2,3,9-四氢-9-甲基-4H-咔唑-4-酮合成新工艺的研究.[J]《浙江工业大学学报》.2009年第1期19-21,共3页.