烷基取代苯硫酚是重要的有机化工原料及中间体,在香料、医药、染料、光敏剂等领域中有广泛用途,烷基苯硫酚系列化合物的市场需求逐年增加。其中,2,6-二甲基巯基苯酚具有硫酚类化合物的典型性质,巯基具有较强的反应活性,可参与氧化、取代等多种化学反应。2,6-二甲基巯基苯酚是一种食品添加剂,可作为增香剂用于多种食品中,如焙烤制品、肉制品、软糖等,能赋予食品肉香、烤香、酚香和硫黄气味。

制备方法[1]
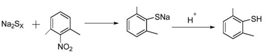
(1)装有搅拌、温度计、冷凝管的2L干净的四口瓶中,加入原料N,N‑二甲基甲酰胺(DMF)511g(7.00mol),加入72g水,控制温度25‑27℃,加入二水硫化钠228g(2.00mol),开启搅拌至物料搅拌均匀溶解。分5‑6次加入115.2g(3.6mol)升华硫粉,加入时间控制在1小时, 控制温度25‑27℃之间,保温3小时,体系颜色慢慢从淡棕色变为深棕色。
(2)保温完毕,在25℃‑30℃之间,滴加2,6‑二甲基硝基苯246.6克(1.8mol),滴加时间控制在2小时左右,反应温度控制在25‑27℃。整个过程氮气保护,进行保温反应6小时,进行液相检测,当2,6‑二甲基硝基苯小于1 .5%(指液相色谱中2,6‑二甲基硝基苯的含量)停止反应。
(3)反应完,进行减压蒸馏,进行DMF回收,回收温度控制在40‑45℃之间,蒸馏完DMF之后,将得到的物料进行降温,加入260克水,搅拌20分钟进行抽滤,滤饼用60克水进行洗涤回收硫磺粉。
(4)将抽滤出水相,控制温度小于20℃,加入100克二氯甲烷,通氮气保护,然后进行滴加稀磷酸,中和到pH值5‑6。静止收集下层有机相,上层水相继续用100克二氯甲烷萃取,同样收集下层有机相,有机相进行合并以后用20克水洗涤有机相。
(5)得到有机相进行常压蒸馏,回收二氯甲烷,蒸馏内温到70℃,进行减压精馏,得到2,6-二甲基巯基苯酚213.6克(含量大于98%),收率86%。1HNMR(500MHz,CDCl3):δ7.11‑7.01(m,1H),3.29(s,1H),2.41(s,6H)。13CNMR(75MHz,CDCl3):δ136.0,131.1,128.0,125.0,22.1。

参考文献
[1]济南悟通生物科技有限公司. 一种烷基取代苯硫酚的合成方法:CN202310649632.X[P]. 2023-09-05.