对甲氧基肉桂酸乙酯是莪术根茎中抗真菌的主要活性成分。它具有广谱的抗真菌作用,对红色发癣菌(皮肤真菌病主要病原菌之一)的最小抑制浓度小于10mg/L,对其他皮肤致病真菌也有一定的抑制作用。同时,对甲氧基肉桂酸乙酯对280~320nm紫外线有良好吸收能力,且吸收率高,是一种常用的紫外线吸收剂2,也可以作为合成最常用紫外线吸收剂对甲氧基肉桂酸异辛酯和异戊酯的中间体。

对甲氧基肉桂酸乙酯的合成方法有多种,最常用的是Perkin两步法工艺:第一步,用对甲氧基苯甲醛和醋酐为原料,在等摩尔醋酸盐催化作用下,于160~180℃进行缩合,然后用碳酸钠成盐并酸化得到对甲氧基肉桂酸。第二步,对甲氧基肉桂酸与乙醇催化酯化得对甲氧基肉桂酸乙酯。该工艺步骤较多,反应温度较高,收率不到70%,并产生大量无用的无机盐和稀醋酸,污染严重,不符合绿色化学的要求。2006年, Benjamin List等以4-二甲基氨基吡啶/哌啶作催化剂,用对甲氧基苯甲醛和丙二酸单乙酯钾盐为主要原料,在溶剂N,N-二甲基甲酰胺中,合成了对甲氧基肉桂酸乙酯。此法仍存在催化剂毒性较大、原料丙二酸单乙酯钾盐价格较贵,溶剂有毒等不足。
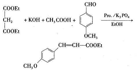
合成方法[1]
往装有回流装置的250mL三口圆底烧瓶中加人无水乙醇60mL,计算量的丙二酸二乙酯。称取一定量的氢氧化钾溶于60mL无水乙醇中。启动机械搅拌,室温下将氢氧化钾的乙醇溶液慢慢滴加到丙二酸二乙酯的乙醇溶液中。加毕,继续搅拌2h,静置过夜。取一定量的冰醋酸加入上述溶液中,室温反应30min。
取5mL茴香醛、L-脯氨酸和磷酸钾加入上述反应液中,加热升温至回流,恒温反应一定时间。反应结束后,回收绝大部分溶剂乙醇,剩余物倾入一定量蒸馏水中并置冰箱中冷藏过夜。过滤,水洗两次,晾干,真空干燥得淡黄色固体对甲氧基肉桂酸乙酯,称重。

参考文献
[1]曾庆友,曾明荣,许瑞安. 对甲氧基肉桂酸乙酯的一锅式绿色合成[J]. 精细化工,2008,25(2):192-194,208. DOI:10.3321/j.issn:1003-5214.2008.02.021.