Organische Chemie

Zu den wichtigsten organischen Rohstoffen gehören Erdgas, Erdöl und Kohle sowie nachwachsende Rohstoffe. Aus ihnen werden viele Dinge des täglichen Lebens hergestellt. Diese organischen Rohstoffe dienen der Herstellung von organischen Chemikalien (Verwendung zur Herstellung von Kunststoffen, Elastomeren und organischen Chemikalien) und von Ammoniak (dieser ist das wichtigste Derivat von Stickstoff in der chemischen Industrie). Organische Rohstoffe werden z.B. zur Herstellung von Kunststoffen, Fasern, Waschmitteln, Kosmetika, Farben und Lacken, Druckfarben, Klebstoffen, Baustoffen, Hydraulikölen und Schmiermitteln bis hin zu Arzneimitteln genutzt.

Click on the specific product, view the latest information of the products, serving information
Structure Chemical Name CAS MF
Cbz-DL-3-Aminoisobutyric acid Cbz-DL-3-Aminoisobutyric acid 101642-77-7 C12H15NO4
3-TERT-BUTOXYCARBONYLAMINO-3-METHYL-BUTYRIC ACID 3-TERT-BUTOXYCARBONYLAMINO-3-METHYL-BUTYRIC ACID 129765-95-3 C10H19NO4
3-(Boc-amino)-4-(2-fluorophenyl)butyric Acid 3-(Boc-amino)-4-(2-fluorophenyl)butyric Acid 1824348-50-6 C15H20FNO4
2-amino-4,4-difluorobutanoic acid 2-amino-4,4-difluorobutanoic acid 107910-31-6 C4H7F2NO2
(R,S)-Boc-3-amino-4,4,4-trifluoro-butyric acid (R,S)-Boc-3-amino-4,4,4-trifluoro-butyric acid 1185296-42-7 C9H14F3NO4
3,3-BIS(TRIFLUOROMETHYL)-3-HYDROXYPROPIONIC ACID 3,3-BIS(TRIFLUOROMETHYL)-3-HYDROXYPROPIONIC ACID 1547-36-0 C5H4F6O3
CGP 11130 CGP 11130 52237-19-1 C10H12FNO2
(S)-2-(9H-FLUOREN-9-YLMETHOXYCARBONYLAMINO)-4,4-DIFLUORO-BUTYRIC ACID (S)-2-(9H-FLUOREN-9-YLMETHOXYCARBONYLAMINO)-4,4-DIFLUORO-BUTYRIC ACID 467442-21-3 C19H17F2NO4
total fat, butyric acid & cholesterol in Mixed Fat Spread total fat, butyric acid & cholesterol in Mixed Fat Spread
Fmoc-L-Norarginine(Boc)2-OH, (S)-N-alpha-(9-Fluorenylmethyloxycarbonyl)-N,N-bis-t-butyloxycarbonyl-2-amino-4-guanidino-butyric acid Fmoc-L-Norarginine(Boc)2-OH, (S)-N-alpha-(9-Fluorenylmethyloxycarbonyl)-N,N-bis-t-butyloxycarbonyl-2-amino-4-guanidino-butyric acid 206183-06-4 C30H38N4O8
(R)-2-Fmoc-amino-4-cyanobutyric acid (R)-2-Fmoc-amino-4-cyanobutyric acid 1262802-58-3 C20H18N2O4
Ethanamine, N,N-dimethyl-2-[2-(methylamino)ethoxy]-
Ethanamine, N,N-dimethyl-2-[2-(methylamino)ethoxy]- 93240-93-8 C7H18N2O
(R)-1-(H-iMidazo[1,2-a]pyridin-6-yl)ethanaMine hydrochloride (R)-1-(H-iMidazo[1,2-a]pyridin-6-yl)ethanaMine hydrochloride 1259780-63-6 C9H11N3
(MAB)9H-Carbazole-9-ethanamine (MAB)9H-Carbazole-9-ethanamine 56080-20-7 C14H14N2
5-(2-Propyn-1-yloxy)-1H-Indole-3-ethanamine (propargylserotonin) 5-(2-Propyn-1-yloxy)-1H-Indole-3-ethanamine (propargylserotonin)
(S)-1-(pyrimidin-2-yl)ethan-1-amine hydrochloride (S)-1-(pyrimidin-2-yl)ethan-1-amine hydrochloride 2095456-37-2 C6H10ClN3
4-Methylhistamine dihydrochloride 4-Methylhistamine dihydrochloride 36376-47-3 C6H14Cl2N3
Fluoroiodomethane Fluoroiodomethane 373-53-5 CH2FI
2-BROMO-1-(3-THIENYL)-1-ETHANONE 2-BROMO-1-(3-THIENYL)-1-ETHANONE 1468-82-2 C6H5BrOS
1-(2,3-dihydro-1-hydroxy-1H-inden-1-yl)- 1-(2,3-dihydro-1-hydroxy-1H-inden-1-yl)- 109327-83-5 C11H12O2
Ethanone, 2-bromo-1-(2-fluoro-4-hydroxyphenyl)- Ethanone, 2-bromo-1-(2-fluoro-4-hydroxyphenyl)- 220131-30-6 C8H6BrFO2
Bis(iodomethyl)zinc Bis(iodomethyl)zinc 14399-53-2 C2H4I2Zn
tetrakis(4-(bromomethyl)phenyl)methane tetrakis(4-(bromomethyl)phenyl)methane 1535222-54-8 C29H24Br4
Dibromdichlormethan Dibromdichlormethan 594-18-3 CBr2Cl2
1-(2-Fluoro-3-hydroxyphenyl)ethanone 1-(2-Fluoro-3-hydroxyphenyl)ethanone 1191999-09-3 C8H7FO2
2-CHLORO-1-(2,6-DIFLUOROPHENYL)ETHAN-1-ONE 2-CHLORO-1-(2,6-DIFLUOROPHENYL)ETHAN-1-ONE 929249-84-3 C8H5ClF2O
1-(3-bromo-5-(tert-butyl)phenyl)ethanone 1-(3-bromo-5-(tert-butyl)phenyl)ethanone 1124138-68-6 C12H15BrO
t-Boc-Aminooxy-PEG7-methane t-Boc-Aminooxy-PEG7-methane 2055041-27-3 C20H41NO10
Triethyltrithioorthoformiat Triethyltrithioorthoformiat 6267-24-9 C7H16S3
Ethanone, 1-(4-amino-3-hydroxyphenyl)- (9CI) Ethanone, 1-(4-amino-3-hydroxyphenyl)- (9CI) 54903-54-7 C8H9NO2
2-aMino-1-(2-broMophenyl)ethan-1-one hydrochloride 2-aMino-1-(2-broMophenyl)ethan-1-one hydrochloride 876063-70-6 C8H9BrClNO
2-(4-(4-hydroxyphenyl)butan-2-ylamino)-1-(4-hydroxyphenyl)ethanone hydrochloride 2-(4-(4-hydroxyphenyl)butan-2-ylamino)-1-(4-hydroxyphenyl)ethanone hydrochloride 52446-58-9 C18H22ClNO3
Aminooxy-PEG2-methane Aminooxy-PEG2-methane 54149-49-4 C5H13NO3
Ethanone, 1-(2-aminophenyl)-2-phenyl- Ethanone, 1-(2-aminophenyl)-2-phenyl- 835-38-1 C14H13NO
Phen-DC3 Trifluoromethanesulfonate Phen-DC3 Trifluoromethanesulfonate 929895-45-4 C36H26F6N6O8S2
Elagolix-001 Elagolix-001 110143-62-9 C14H21NO5S
BROMODIIODOMETHANE BROMODIIODOMETHANE 557-95-9 CHBrI2
1-(1H-indazol-4-yl)ethanone 1-(1H-indazol-4-yl)ethanone 1159511-21-3 C9H8N2O
Methandisulfonyldichlorid Methandisulfonyldichlorid 5799-68-8 CH2Cl2O4S2
1-Acetyl-carboline 1-Acetyl-carboline 50892-83-6 C13H10N 2O
DIBROMOIODOMETHANE DIBROMOIODOMETHANE 593-94-2 CHBr2I
Tribromchlormethan Tribromchlormethan 594-15-0 CBr3Cl
Benzene, 1,1',1'',1'''-methanetetrayltetrakis[4-iodo- Benzene, 1,1',1'',1'''-methanetetrayltetrakis[4-iodo- 134080-67-4 C25H16I4
Bromo-methanesulfonyl-methane Bromo-methanesulfonyl-methane 78967-61-0 C2H5BrO2S
Bromofluoromethane Bromofluoromethane 373-52-4 CH2BrF
Zinc difluoroMethanesulfinate Zinc difluoroMethanesulfinate 1355729-38-2 CH2F2O2SZn
Tetra(4-acetylphenyl)methane Tetra(4-acetylphenyl)methane 313484-93-4 C33H28O4
METHANE-D2 METHANE-D2 676-55-1 CH2D2
Aminooxy-PEG3-methane Aminooxy-PEG3-methane 248275-10-7 C7H17NO4
Aminooxy-PEG7-methane Aminooxy-PEG7-methane 1370698-27-3 C15H33NO8
METHANE (D1) METHANE (D1) 676-49-3 CH3D
METHANE (13C) METHANE (13C) 6532-48-5 CH4
N-methyl-N-(3-(4,4,5,5-tetramethyl-1,3,2-dioxaborolan-2-yl)phenyl)methanesulfonamide N-methyl-N-(3-(4,4,5,5-tetramethyl-1,3,2-dioxaborolan-2-yl)phenyl)methanesulfonamide 875917-19-4 C14H22BNO4S
N-(3-BROMOPHENYL)-N-METHYLMETHANESULFONAMIDE N-(3-BROMOPHENYL)-N-METHYLMETHANESULFONAMIDE 875917-18-3 C8H10BrNO2S
HYDRAZINE, (2-CHLORO-4-METHOXYPHENYL)- HYDRAZINE, (2-CHLORO-4-METHOXYPHENYL)- 858210-64-7 C7H9ClN2O
1-(2,2-diethoxyethyl)hydrazine 1-(2,2-diethoxyethyl)hydrazine 42351-81-5 C6H16N2O2
N-benzyl-2-(3,4-diMethoxyphenyl)-N-MethylethanaMine N-benzyl-2-(3,4-diMethoxyphenyl)-N-MethylethanaMine 96025-46-6 C18H23NO2
4-Benzyloxyphenylhydrazine 4-Benzyloxyphenylhydrazine 51145-58-5 C13H14N2O
2-Bromo-5-ethoxybenzylalcohol 2-Bromo-5-ethoxybenzylalcohol 1501185-00-7 C9H11BrO2
2-Aminobenzylalkohol 2-Aminobenzylalkohol 5344-90-1 C7H9NO
1,3-Dioxolan-2-ethylamin 1,3-Dioxolan-2-ethylamin 5754-35-8 C5H11NO2
p-(phenylthio)benzyl alcohol p-(phenylthio)benzyl alcohol 6317-56-2 C13H12OS
(2S,5R)-2-(2-acetylhydrazine-1-carbonyl)-7-oxo-1,6-diazabicyclo[3.2.1]octan-6-yl hydrogen sulfate (2S,5R)-2-(2-acetylhydrazine-1-carbonyl)-7-oxo-1,6-diazabicyclo[3.2.1]octan-6-yl hydrogen sulfate 1452459-50-5 C9H14N4O7S
2-(4-Chlorophenyl)-N-ethyl-1-ethanamine 2-(4-Chlorophenyl)-N-ethyl-1-ethanamine 41683-99-2 C10H14ClN
Hydrazine,  [(4-nitrophenyl)methyl]- Hydrazine, [(4-nitrophenyl)methyl]- 51421-21-7 C7H9N3O2
3-BROMO-5-HYDROXYBENZYL ALCOHOL 3-BROMO-5-HYDROXYBENZYL ALCOHOL 1020336-51-9 C7H7BrO2
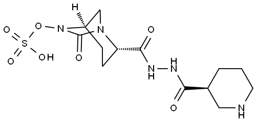
(1R,2S,5R)-7-oxo-2-(2-((S)-piperidine- 3-carbonyl)hydrazine-1-carbonyl) -1,6- diazabi cyclo[3.2.1]octan-6-yl hydrogen sulfate (1R,2S,5R)-7-oxo-2-(2-((S)-piperidine- 3-carbonyl)hydrazine-1-carbonyl) -1,6- diazabi cyclo[3.2.1]octan-6-yl hydrogen sulfate 1436862-20-2 C13H21N5O7S
sodium (2S,5R)-2-(2-(2-cyanoacetyl)hydrazine-1-carbonyl)-7-oxo-1,6-diazabicyclo[3.2.1]octan-6-yl sulfate sodium (2S,5R)-2-(2-(2-cyanoacetyl)hydrazine-1-carbonyl)-7-oxo-1,6-diazabicyclo[3.2.1]octan-6-yl sulfate 1436862-65-5 C10H14N5NaO7S
2-THIOXO-,COMPD.WITHN,N-DIETHYLETHANAMINE 2-THIOXO-,COMPD.WITHN,N-DIETHYLETHANAMINE 116912-49-3 C19H25N3O3S3
5-Bromo-2-methylbenzyl alcohol 5-Bromo-2-methylbenzyl alcohol 258886-04-3 C8H9BrO
(CyclopropylMethyl)hydrazine hydrochloride (CyclopropylMethyl)hydrazine hydrochloride 1181457-83-9 C4H11ClN2
(4-(Trifluoromethoxy)benzyl)hydrazine dihydrochloride (4-(Trifluoromethoxy)benzyl)hydrazine dihydrochloride 1427416-69-0 C8H10ClF3N2O
5-Chlorsalicylalkohol 5-Chlorsalicylalkohol 5330-38-1 C7H7ClO2
(5-CHLORO-PYRIDIN-2-YL)-HYDRAZINE (5-CHLORO-PYRIDIN-2-YL)-HYDRAZINE 27032-63-9 C5H6ClN3
Benzyl Alcohols Benzyl Alcohols
1,2,4,5-Tetrazine-3,6-dione, 1,2-dihydro-, dihydrazone 1,2,4,5-Tetrazine-3,6-dione, 1,2-dihydro-, dihydrazone 5940-53-4 C2H6N8
3,5-DIBROMOBENZYL ALCOHOL 3,5-DIBROMOBENZYL ALCOHOL 145691-59-4 C7H6Br2O
(2S,5R)-2-(2-acetylhydrazine-1-carbonyl)-7-oxo-1,6-diazabicyclo[3.2.1]octan-6-yl hydrogen sulfate (2S,5R)-2-(2-acetylhydrazine-1-carbonyl)-7-oxo-1,6-diazabicyclo[3.2.1]octan-6-yl hydrogen sulfate 1452459-52-7 C9H15N4NaO7S
2-Chloro-1-cyclopropyl-2-(2-fluorophenyl)ethanone 2-Chloro-1-cyclopropyl-2-(2-fluorophenyl)ethanone 178688-43-2 C11H10ClFO
2-Fluorobenzylhydrazine dihydrochloride 2-Fluorobenzylhydrazine dihydrochloride 1349715-77-0 C7H10ClFN2
1-[2-(trifluoromethyl)pyrimidin-5-yl]ethanone 1-[2-(trifluoromethyl)pyrimidin-5-yl]ethanone 1367970-52-2 C7H5F3N2O
2-bromo-1-(5-bromopyridin-2-yl)ethanone 2-bromo-1-(5-bromopyridin-2-yl)ethanone 870694-43-2 C7H5Br2NO
1-(6-methylpyridin-2-yl)-2-(1,5-naphthyridin-2-yl)ethanone 1-(6-methylpyridin-2-yl)-2-(1,5-naphthyridin-2-yl)ethanone 446297-56-9 C16H13N3O
2-(2-Bromophenyl)-1-(4-methoxyphenyl)ethanone 2-(2-Bromophenyl)-1-(4-methoxyphenyl)ethanone 655244-07-8 C15H13BrO2
(2S,5R)-2-(2-(azetidine-3-carbonyl)hydrazine-1-carbonyl)-7-oxo-1,6-diazabicyclo[3.2.1]octan-6-yl hydrogen sulfate (2S,5R)-2-(2-(azetidine-3-carbonyl)hydrazine-1-carbonyl)-7-oxo-1,6-diazabicyclo[3.2.1]octan-6-yl hydrogen sulfate 1452460-31-9 C11H17N5O7S
2-(1,4-dioxan-2-yl)ethan-1-amine 2-(1,4-dioxan-2-yl)ethan-1-amine 933749-31-6 C6H13NO2
Ethanone, 2-bromo-1-(3-fluoro-4-pyridinyl)-, hydrobromide (1:1) Ethanone, 2-bromo-1-(3-fluoro-4-pyridinyl)-, hydrobromide (1:1) 845538-59-2 C7H6Br2FNO
(R)-2-(1,4-Dioxan-2-yl)ethanamine (R)-2-(1,4-Dioxan-2-yl)ethanamine
zidebactam dihydrate zidebactam dihydrate 1996664-59-5 C13H23N5O8S
N,N-dimethyl-2-prop-2-enoxyethanamine N,N-dimethyl-2-prop-2-enoxyethanamine 3205-11-6 C7H15NO
Benzenemethanol, 2-bromo-5-hydroxy-4-methoxy- Benzenemethanol, 2-bromo-5-hydroxy-4-methoxy- 655238-34-9 C8H9BrO3
1-(6-fluoropyridin-3-yl)hydrazine 1-(6-fluoropyridin-3-yl)hydrazine C5H6FN3
2,2,2-Trifluoro-1-p-tolylethanaminehydrochloride 2,2,2-Trifluoro-1-p-tolylethanaminehydrochloride 1186195-01-6 C9H11ClF3N
1H-Pyrrolo[2,3-b]pyridine-3-ethanaMine, 5-broMo- 1H-Pyrrolo[2,3-b]pyridine-3-ethanaMine, 5-broMo- 183208-57-3 C9H10BrN3
(2S,5R)-2-(2-(azetidine-3-carbonyl)hydrazine-1-carbonyl)-7-oxo-1,6-diazabicyclo[3.2.1]octan-6-yl hydrogen sulfate (2S,5R)-2-(2-(azetidine-3-carbonyl)hydrazine-1-carbonyl)-7-oxo-1,6-diazabicyclo[3.2.1]octan-6-yl hydrogen sulfate 1436862-33-7 C11H17N5O7S
3-(2,2,2-Trimethylhydrazine)methylpropionate bromide 3-(2,2,2-Trimethylhydrazine)methylpropionate bromide 106966-25-0 C7H17N2O2.Br
(S)-2-(1,4-Dioxan-2-yl)ethanamine (S)-2-(1,4-Dioxan-2-yl)ethanamine
4-Fluoro-3-hydroxybenzyl alcohol 4-Fluoro-3-hydroxybenzyl alcohol 934241-78-8 C7H7FO2
1-(1-METHYL-1H-PYRAZOL-4-YL)ETHANAMINE 1-(1-METHYL-1H-PYRAZOL-4-YL)ETHANAMINE 911788-33-5 C6H11N3
Zidebactam Race Zidebactam Race 1436862-19-9 C13H21N5O7S
Website-Startseite | Mitglied Firmen | Werbung | ueber uns
Copyright © 2016 ChemicalBook All rights reserved.