77501-90-7
77501-90-7 结构式
基本信息
乙羧氟草醚
O-(5-(2-氯-Α,Α,Α-三氟-对-甲苯氧基)-2-硝基苯甲酰基)氧乙酸乙酯
[5-(2-氯三氟对甲苯氧基)-2-硝基苯甲酰基]羟基乙酸乙酯
乙羧氟草醚
FLUOROGLYCOFEN-ETHYL
5-(2-chloro-4-(trifluoromethyl)phenoxy)-2-nitro-benzoicaci2-ethoxy-2-ox
5-(2-chloro-4-(trifluoromethyl)phenoxy)-2-nitro-benzoicaciesterwithethy
bas9106h
fluoroglycofen
lglycolate
rh-0265
superblazer
Fluoroglyofene
Fluroglycofen
carboxymethyl-5-(2-chloro-4-(trifluorometnyl)phenoxy)-2-nitrobenzoate
O-(5-(2-chloro-α,α,α-trifluoro-p-tolyloxy)-2-nitrobenzoyl)glycolic acid
5-[2-CHLORO-4-(TRIFLUOROMETHYL)PHENOXY]-2-NITROBENZOIC ACID-ETHOXY-2-OXOETHYL ESTER
fluoroglicofene-ethyl (draft-iso-f)
fluoroglycofen-ethyl (ansi,bsi,iso)
5-[2-CHLORO-4-(TRIFLUOROMETHYL)PHENOXY]-2-NITROBENZOICACID2-ETHOXY-2-OXOETHYLESTER
Ethoxy-2-oxoethyl (5-2-chloro-4-(trifluoromethyl)phenoxy)-2-nitrobenzoate
Ethoxycarbonylmethyl-5-(2-chloro-4-trifluoromethylphenoxy)-2-nitrobenzoate
Fluoroglycofen ethyl ester
物理化学性质
常见问题列表
乙羧氟草醚乙酯(fluoroglycofen-ethyl),试验代号 RH0265。商品名称Dougengcui,混 剂:Compete Combi、.Compete Super、Competitor、Estrad、Kuorum、Presto、Satis。是由罗门哈斯公司(现道农科)开发的二苯醚类除草剂。 化学名称O-[5-(2-氯-a,a,a-三氟-对甲苯氧基)-2-硝基苯甲酰基]氧乙酸乙酯,ethyl O [5-(2-chloro-a,a,a-trifluoro-p-tolyloxy)-2-nitrobenzoyl]glycolate.
乙羧氟草醚纯品为深、琥珀色固体,熔点65℃。相对密度1.01(25℃)。水中溶解度(25℃) 0.6mg/L。除环己烷外易溶于大多数有机溶剂。KowlgP=3.65.0.25mg/L的水溶液在22℃时 DT50 231d(pH5)、15d(pH7)、0.15d(pH9),其水悬浮液在紫外线下会迅速分解。
(1)适宜作物小麦、大麦、花生、大豆和水稻。
(2)防除对象可防除阔叶杂草和禾本科杂草如猪殃殃、婆婆纳、堇菜、苍耳属和甘蓝属杂
草等。该药剂对多年生杂草无效。
(3)应用技术苗后使用防除阔叶杂草,所需剂量相对较低。虽然该药剂苗前施用对敏感的
双子叶杂草也有一些活性,但剂量必须高于苗后剂量的2~10倍。
(4)使用方法以60g(a.i.)/hm2苗前、苗后施用,可防除小麦、大麦、花生、大豆和稻田
中阔叶杂草和禾本科杂草,对猪殃殃、婆婆纳和堇菜有特效。田间试验表明,以280g(a.i.)/
hm2乙羧氟草醚乙酯十33g(a.i.)/hm22,4-滴丁酯施于大豆田,可防除苍耳属和甘薯属杂草。
外,其还可与绿麦隆、异丙隆、2甲4氯丙酸盐等除草剂混用。
乙羧氟草醚为二苯醚类、原卟啉原氧化酶抑制剂。一旦被植物吸收,只有在光照条件下才发挥效力。该化合物同氯分子反应,生成对植物细胞具有毒性的四吡咯化合物,积聚而发生作用。积聚过程中,使植物细胞膜完全消失,然后引起细胞内含物渗漏。最终导致杂 草死亡。
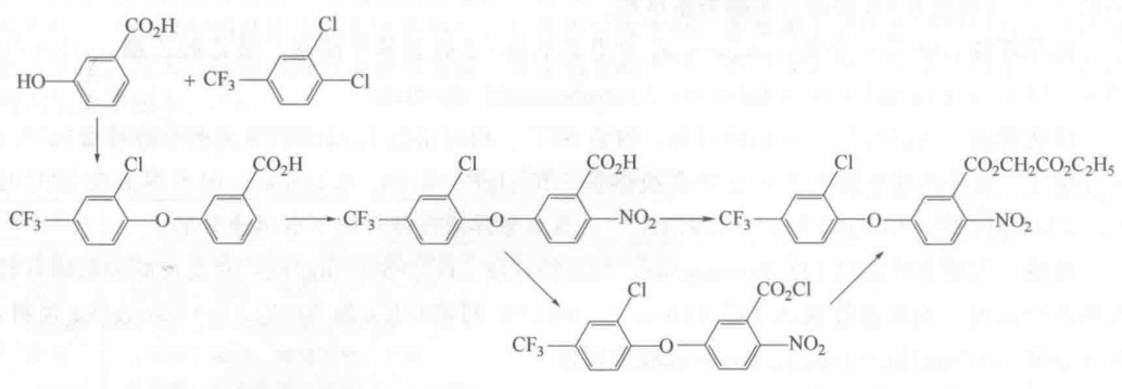
3,4-二氯三氟甲基苯与间羟基苯甲酸反应,得到3[2-氯-4-(三氟甲基)苯氧基]
苯甲酸,该化合物经硝化得到5-[2-氯-4-(三氟甲基)苯氧基]-2硝基苯甲酸,最后与α-氯代乙酸乙酯在碳酸钾存在下在二甲基亚砜中反应,或酰氯化、然后与2羟基乙酸乙酯反应均可制得乙羧
氟草醚。反应式如下:
大鼠急性经口LD50 1500mg/kg,兔急性经皮LD50>5000mg/kg,对兔皮肤和眼睛有轻微刺激性作用。大鼠急性吸入LC50(4h)>7.5mg(EC制剂)/L。狗NOEL(1y)320mg/kg饲料, ADI(BfR)0.01mg/kg[1993]。Ames试验为阴性。
