乙酸苄酯的用途和合成方法

2024/4/26 14:11:03 作者:贝克曼

乙酸苄酯是苯基酯,主要来自茉莉、依兰依兰、橙花和栀子花中,在高等级的桂皮精油中也有少量。

主要用途

乙酸苄酯是茉莉花等浸膏的主要组分,有茉莉花的香味,是香馨、伊兰等花香香精调配中不可缺少的香料,因价廉,多用于皂用和其他工业用香精。常在茉莉、白兰、玉簪、月下香和水仙等香精中大量使用,也可少量用于生梨、苹果、香蕉、桑椹子等型食用香精中。

乙酸苄酯

乙酸苄酯在水中溶解0.23%(质量分数),不溶于甘油。但能与醇、醚、酮及酯舫经,芳香经等混溶。对油脂﹑硝化纤维素等都有良好的溶解能力,还能溶解松香、甘油三松香酸醋、香豆酮等树脂。与醇混合后可溶解虫胶﹑甘油醇酸树脂等。因此被用作虫胶漆、醇酸树脂﹑硝酸纤维素,乙酸纤维素,染料,油脂、印刷油墨等的溶剂。

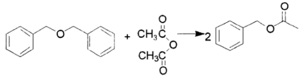
合成方法

将二苄醚、醋酸酐和对甲基苯磺酸混合后,升温反应2-6h,反应结束后得到乙酸苄酯粗品,需要进行过滤,水洗,碱洗,精馏得到乙酸苄酯的成品。

乙酸苄酯

免责申明 ChemicalBook平台所发布的新闻资讯只作为知识提供,仅供各位业内人士参考和交流,不对其精确性及完整性做出保证。您不应 以此取代自己的独立判断,因此任何信息所生之风险应自行承担,与ChemicalBook无关。文章中涉及所有内容,包括但不限于文字、图片等等。如有侵权,请联系我们进行处理!
阅读量:1273 0

欢迎您浏览更多关于乙酸苄酯的相关新闻资讯信息