| Identification | Back Directory | [Name]
(R)-N-Boc-3-pyrrolidineacetic acid | [CAS]
204688-60-8 | [Synonyms]
(R)-1-Boc-3-pyrrolidineacetic acid (R)-N-BOC-3-PYRROLIDINEACETIC ACID N-BOC-(R)-pyrrolidin-3-acetic acid (3R)-1-Boc-3-pyrrolidineacetic acid (R)-N-BOC-PYRROLIDINE-3-ACETIC ACID (R)-1-N-Boc-3-pyrrolidineacetic acid (R)-(1-BOC-PYRROLIDIN-3-YL)-ACETIC ACID (R)-2-(1-Boc-3-pyrrolidinyl)acetic Acid (R)-1-tert-Butoxycarbonylpyrrolidine-3-acetic acid (R)-N-Boc-3-(R)-(1-Boc-Pyrrolidin-3-yl)-aceticacid (R)-2-(1-(tert-Butoxycarbonyl)pyrrolidin-3-yl)acetic acid 2-[(3R)-1-[(tert-butoxy)carbonyl]pyrrolidin-3-yl]acetic acid (R)-3-CARBOXYMETHYL-PYRROLIDINE-1-CARBOXYLIC ACID TERT-BUTYL ESTER 3-Pyrrolidineacetic acid, 1-[(1,1-dimethylethoxy)carbonyl]-, (3R)- 2-[(3S)-1-[(2-methylpropan-2-yl)oxycarbonyl]pyrrolidin-3-yl]acetic acid 2-[(3R)-1-[(2-methylpropan-2-yl)oxycarbonyl]pyrrolidin-3-yl]acetic acid | [Molecular Formula]
C11H19NO4 | [MDL Number]
MFCD05861547 | [MOL File]
204688-60-8.mol | [Molecular Weight]
229.27 |
| Chemical Properties | Back Directory | [Boiling point ]
357.4±15.0 °C(Predicted) | [density ]
1.151±0.06 g/cm3(Predicted) | [storage temp. ]
Sealed in dry,2-8°C | [pka]
4.65±0.10(Predicted) | [InChI]
InChI=1S/C11H19NO4/c1-11(2,3)16-10(15)12-5-4-8(7-12)6-9(13)14/h8H,4-7H2,1-3H3,(H,13,14)/t8-/m1/s1 | [InChIKey]
SKEXQIJIXQSFRX-MRVPVSSYSA-N | [SMILES]
N1(C(OC(C)(C)C)=O)CC[C@H](CC(O)=O)C1 |
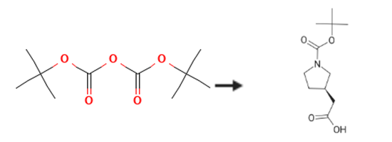
| Hazard Information | Back Directory | [Synthesis]
(R)-N-Boc-3-pyrrolidineacetic acid is synthesised using Di-tert-butyl dicarbonate as raw material by chemical reaction. The specific synthesis steps are as follows: A solution of 4.95 g of the preceding step product in 50 ml of dichloromethane and 25 ml of trifluoroacetic acid is stirred at room temperature for 3 h. and concentrated. The residue is dissolved in 40 ml of dioxan and 40 ml of 1N NaOH, treated at room temperature with 4.3 g of di-tert-butyl dicarbonate in 40 ml of dioxan and stirred for 1.5 h. The reaction mixture is diluted with ether, the organic phase is washed with 1N NaOH and the aqueous phase is acidified with 3N HCl. Extraction of the aqueous phase with ether, washing, drying and concentration of the ether phase gives 0.72 g of tert-butyl(R)-3-carboxymethyl-pyrrolidine-1-carboxylate.
 |
|
|